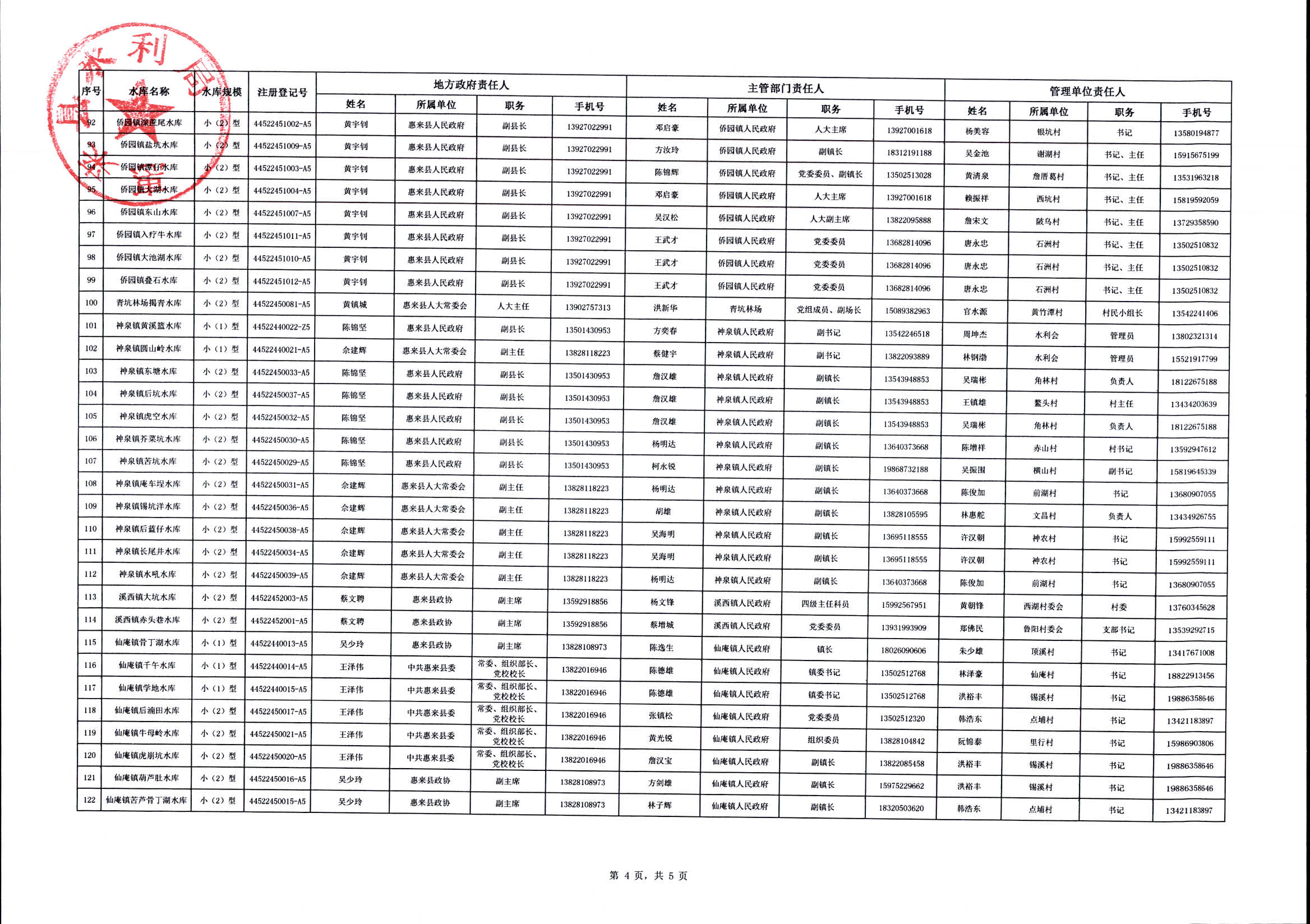
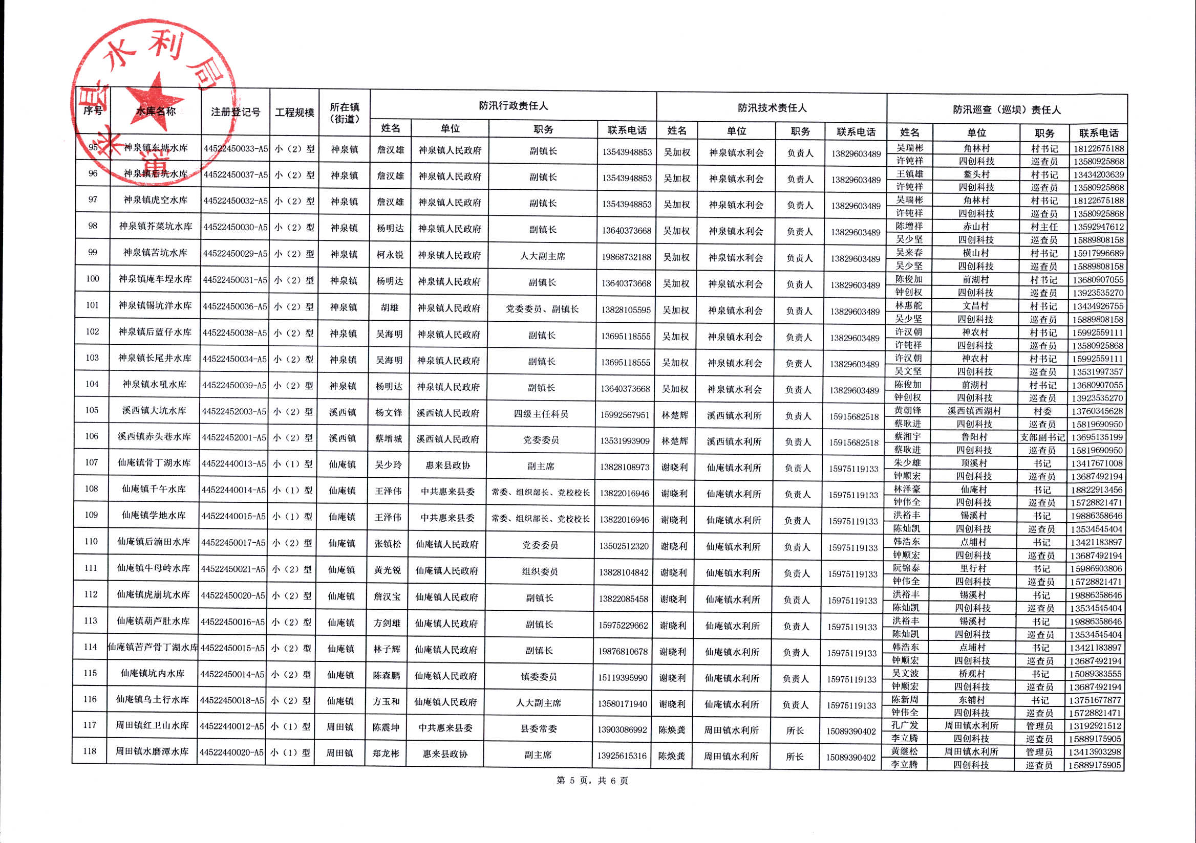
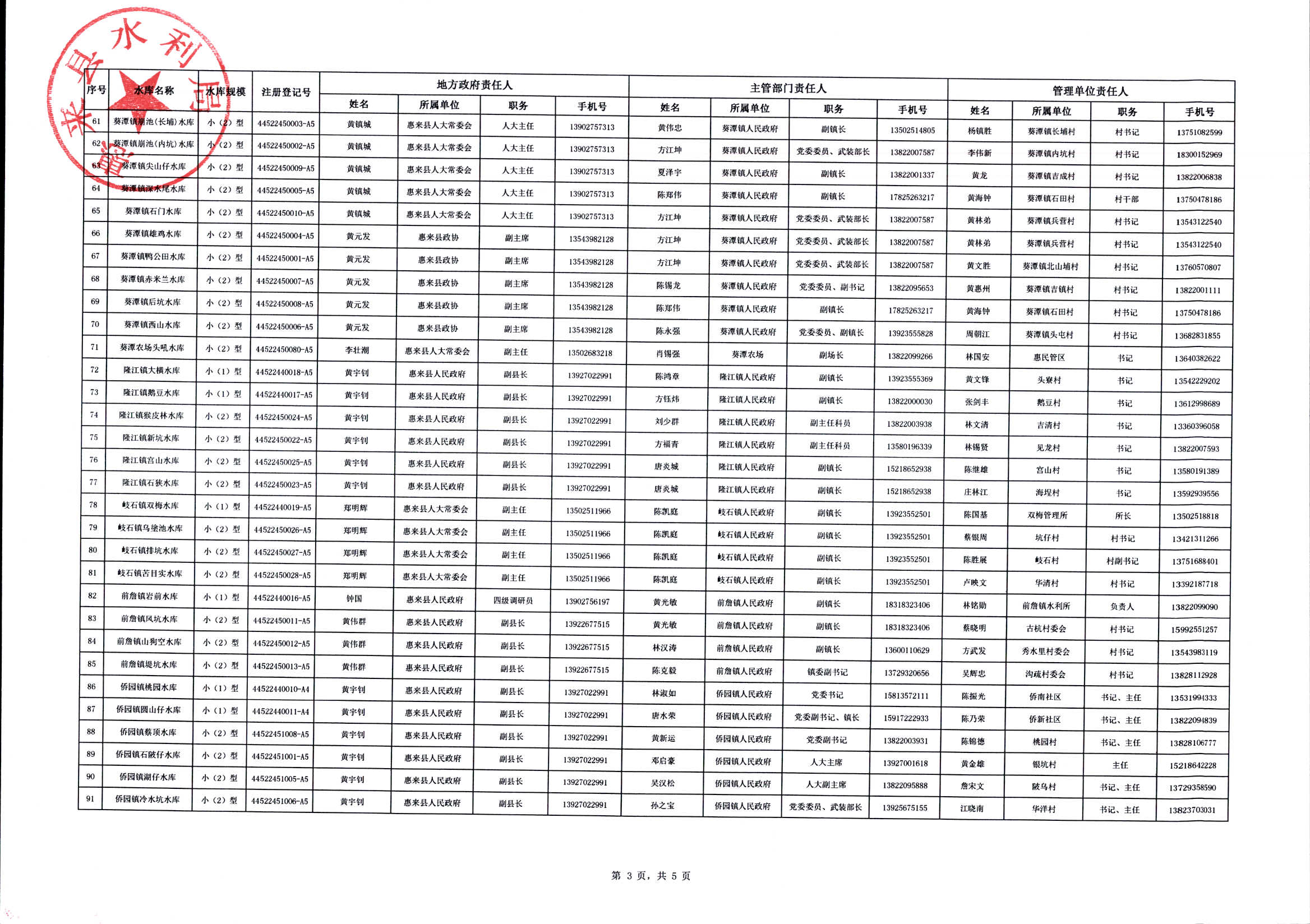
关于公布惠来县2024年度水库大坝安全责任人和防汛“三个责任人”名单的通知

时间:2024-04-08 16:35
来源:本网
【浏览字体:

责任人公示 (1).jpg责任人公示 (2).jpg责任人公示 (3).jpg责任人公示 (4).jpg责任人公示 (5).jpg责任人公示 (6).jpg责任人公示 (7).jpg责任人公示 (8).jpg责任人公示 (9).jpg责任人公示 (10).jpg责任人公示 (11).jpg责任人公示 (12).jpg责任人公示 (13).jpg



相关附件:
相关阅读